Официальное опубликование правовых актов
ОФИЦИАЛЬНОЕ ОПУБЛИКОВАНИЕ
Приказ Департамента здравоохранения Томской области от 30.07.2019 № 26
"О внесении изменения в приказ Департамента здравоохранения Томской области от 31.03.2016 № 27"
Номер опубликования: 7001201907310009
Дата опубликования: 31.07.2019
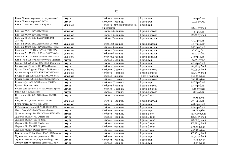
Страница №72 из 81:
Увеличить