Официальное опубликование правовых актов
ОФИЦИАЛЬНОЕ ОПУБЛИКОВАНИЕ
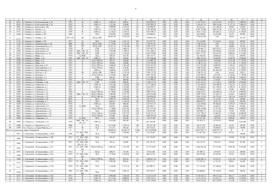
Приказ Департамента ЖКХ и государственного жилищного надзора Томской области от 10.07.2019 № 41
"О внесении изменения в приказ Департамента ЖКХ и государственного жилищного надзора Томской области от 12.12.2017 № 44"
Номер опубликования: 7001201907120005
Дата опубликования: 12.07.2019
Страница №8 из 122:
Увеличить