Официальное опубликование правовых актов
ОФИЦИАЛЬНОЕ ОПУБЛИКОВАНИЕ
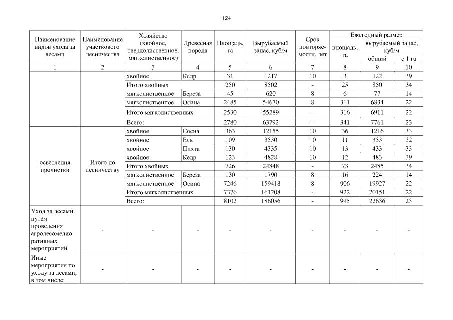
Приказ Департамента лесного хозяйства Томской области от 13.11.2018 № 41
"О внесении изменения в лесохозяйственный регламент Зырянского лесничества Томской области"
Номер опубликования: 7001201811160014
Дата опубликования: 16.11.2018
Страница №124 из 208:
Увеличить