Официальное опубликование правовых актов
ОФИЦИАЛЬНОЕ ОПУБЛИКОВАНИЕ
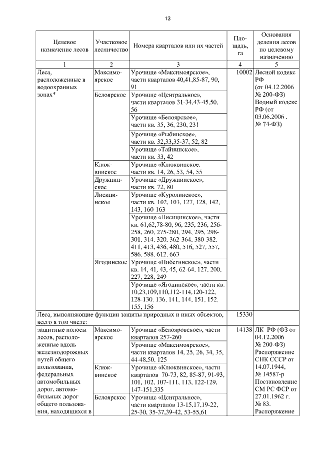
Приказ Департамента лесного хозяйства Томской области от 13.11.2018 № 40
"О внесении изменения в лесохозяйственный регламент Верхнекетского лесничества Томской области"
Номер опубликования: 7001201811160013
Дата опубликования: 16.11.2018
Страница №13 из 227:
Увеличить