Официальное опубликование правовых актов
ОФИЦИАЛЬНОЕ ОПУБЛИКОВАНИЕ
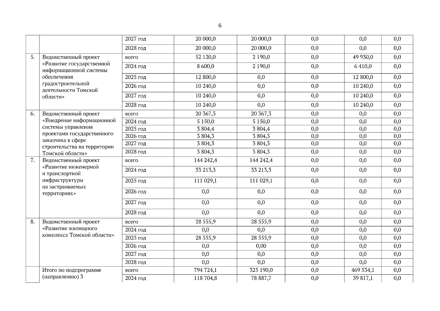
Постановление Администрации Томской области от 03.03.2026 № 72а
"О внесении изменений в постановление Администрации Томской области от 25.09.2019 № 337а"
Номер опубликования: 7000202603060001
Дата опубликования: 06.03.2026
Страница №22 из 69:
Увеличить