Официальное опубликование правовых актов
ОФИЦИАЛЬНОЕ ОПУБЛИКОВАНИЕ
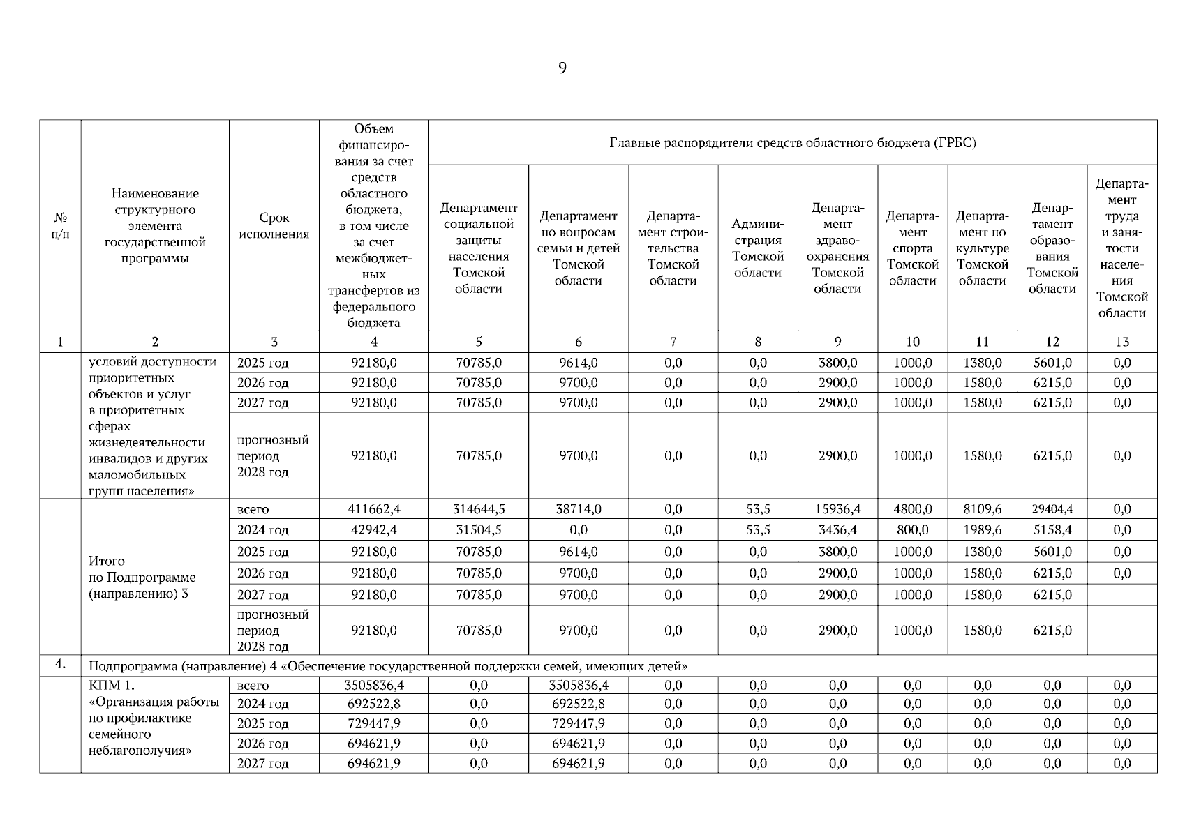
Постановление Администрации Томской области от 10.11.2025 № 507а
"О внесении изменений в постановление Администрации Томской области от 27.09.2019 № 361а"
Номер опубликования: 7000202511120006
Дата опубликования: 12.11.2025
Страница №35 из 170:
Увеличить