Официальное опубликование правовых актов
ОФИЦИАЛЬНОЕ ОПУБЛИКОВАНИЕ
Постановление Администрации Томской области от 28.12.2023 № 649а
"О внесении изменений в постановление Администрации Томской области от 27.09.2019 № 345а"
Номер опубликования: 7000202312300002
Дата опубликования: 30.12.2023
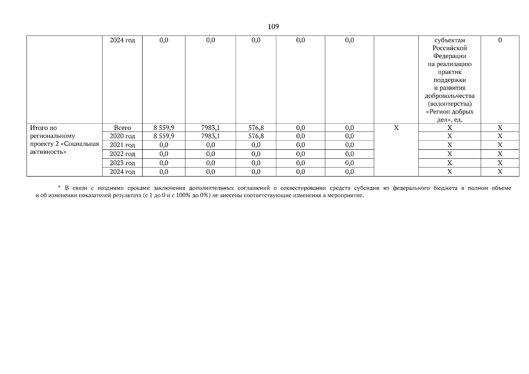
Страница №110 из 146:
Увеличить