Официальное опубликование правовых актов
ОФИЦИАЛЬНОЕ ОПУБЛИКОВАНИЕ
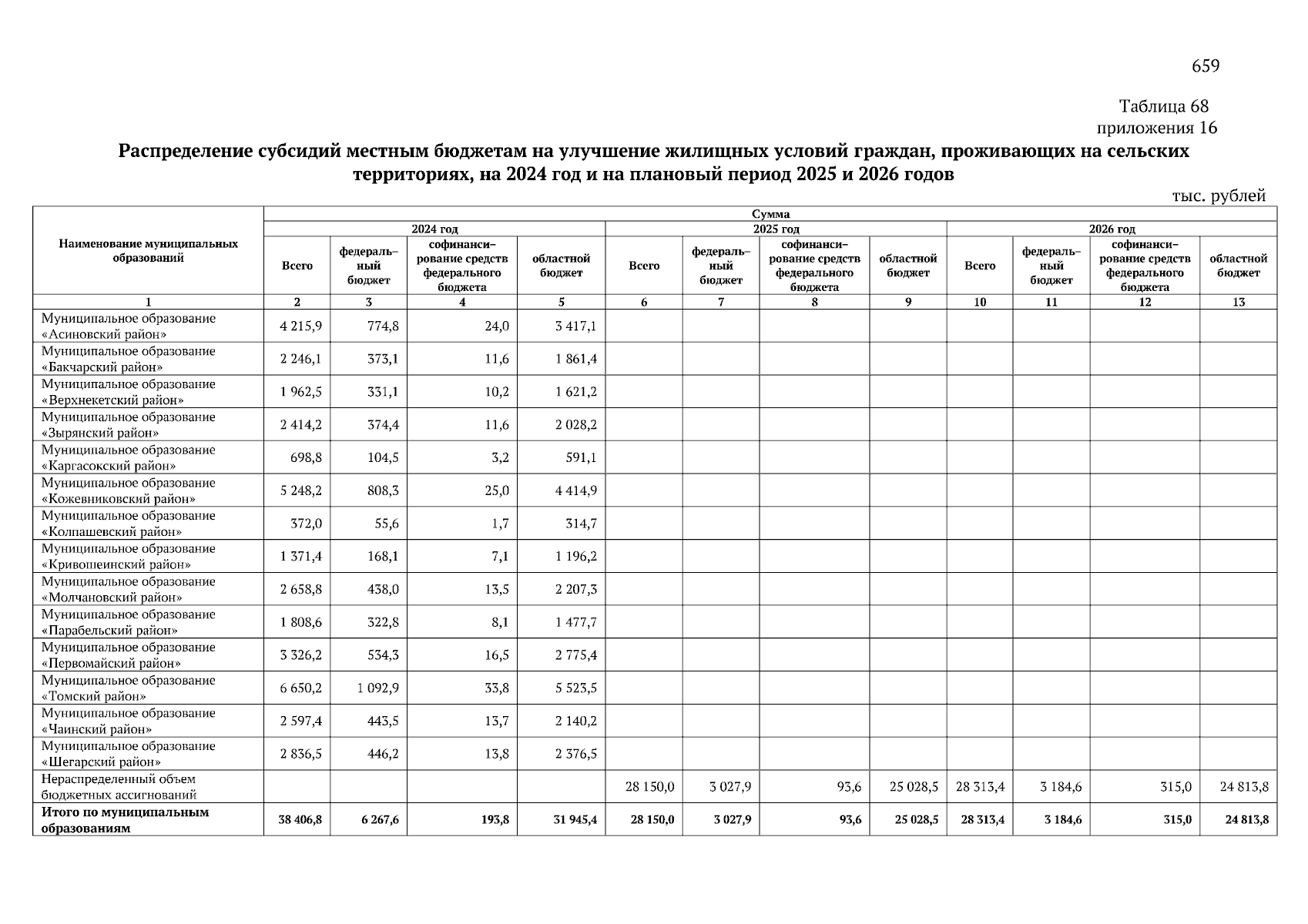
Закон Томской области от 27.12.2023 № 128-ОЗ
"Об областном бюджете на 2024 год и на плановый период 2025 и 2026 годов"
Номер опубликования: 7000202312280044
Дата опубликования: 28.12.2023
Страница №659 из 720:
Увеличить