Официальное опубликование правовых актов
ОФИЦИАЛЬНОЕ ОПУБЛИКОВАНИЕ
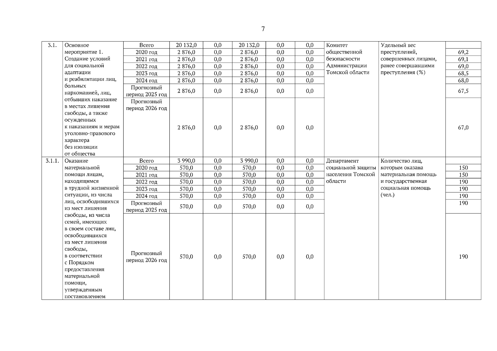
Постановление Администрации Томской области от 27.12.2023 № 636а
"О внесении изменений в постановление Администрации Томской области от 27.09.2019 № 344а"
Номер опубликования: 7000202312280025
Дата опубликования: 28.12.2023
Страница №32 из 43:
Увеличить