Официальное опубликование правовых актов
ОФИЦИАЛЬНОЕ ОПУБЛИКОВАНИЕ
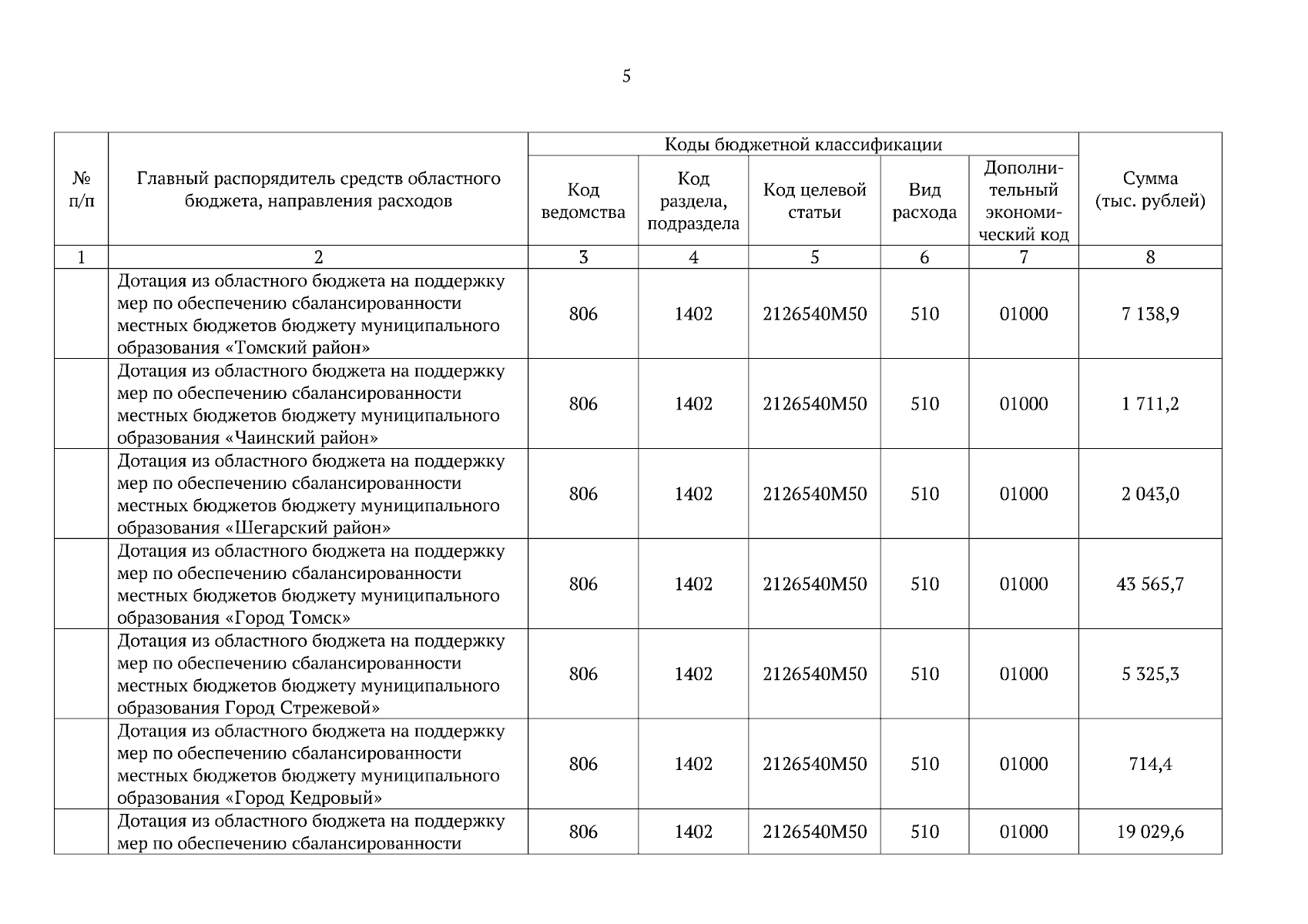
Постановление Администрации Томской области от 29.08.2023 № 390а
"О внесении изменений в сводную бюджетную роспись областного бюджета на 2023 год и на плановый период 2024 и 2025 годов"
Номер опубликования: 7000202308290004
Дата опубликования: 29.08.2023
Страница №6 из 18:
Увеличить