Официальное опубликование правовых актов
ОФИЦИАЛЬНОЕ ОПУБЛИКОВАНИЕ
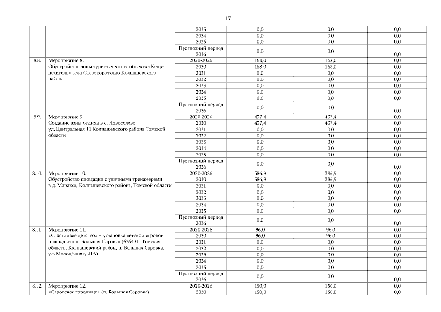
Постановление Администрации Томской области от 09.06.2023 № 263а
"О внесении изменения в постановление Администрации Томской области от 27.09.2019 № 358а"
Номер опубликования: 7000202306130001
Дата опубликования: 13.06.2023
Страница №18 из 131:
Увеличить