Официальное опубликование правовых актов
ОФИЦИАЛЬНОЕ ОПУБЛИКОВАНИЕ
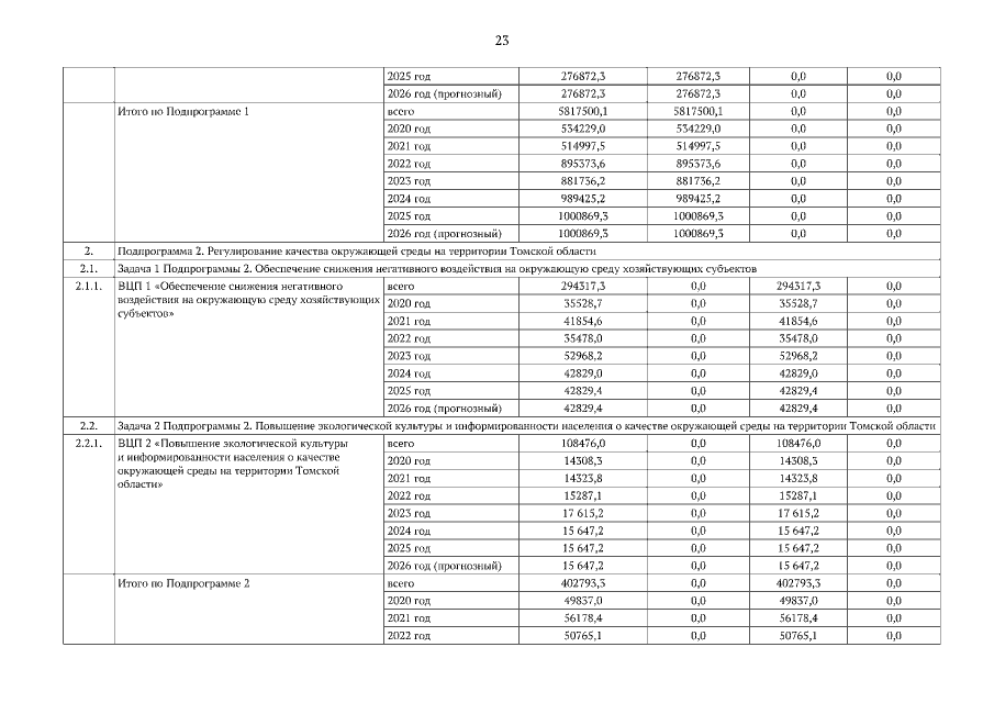
Постановление Администрации Томской области от 07.04.2023 № 179а
"О внесении изменения в постановление Администрации Томской области от 27.09.2019 № 343а"
Номер опубликования: 7000202304110001
Дата опубликования: 11.04.2023
Страница №24 из 127:
Увеличить