Официальное опубликование правовых актов
ОФИЦИАЛЬНОЕ ОПУБЛИКОВАНИЕ
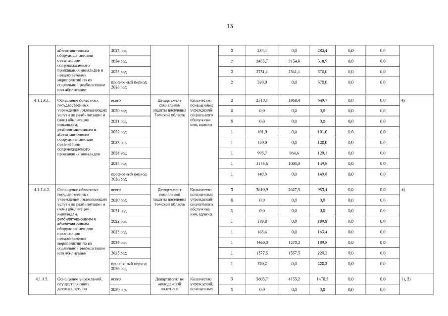
Постановление Администрации Томской области от 31.03.2023 № 153а
"О внесении изменений в постановление Администрации Томской области от 27.09.2019 № 361а"
Номер опубликования: 7000202304050012
Дата опубликования: 05.04.2023
Страница №262 из 290:
Увеличить