Официальное опубликование правовых актов
ОФИЦИАЛЬНОЕ ОПУБЛИКОВАНИЕ
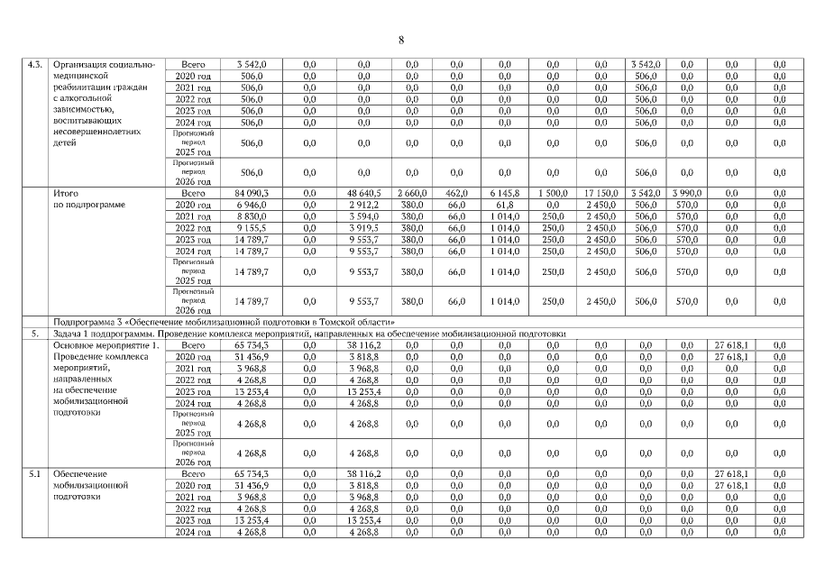
Постановление Администрации Томской области от 24.03.2023 № 142а
"О внесении изменений в постановление Администрации Томской области от 27.09.2019 № 344а"
Номер опубликования: 7000202303290001
Дата опубликования: 29.03.2023
Страница №11 из 46:
Увеличить