Официальное опубликование правовых актов
ОФИЦИАЛЬНОЕ ОПУБЛИКОВАНИЕ
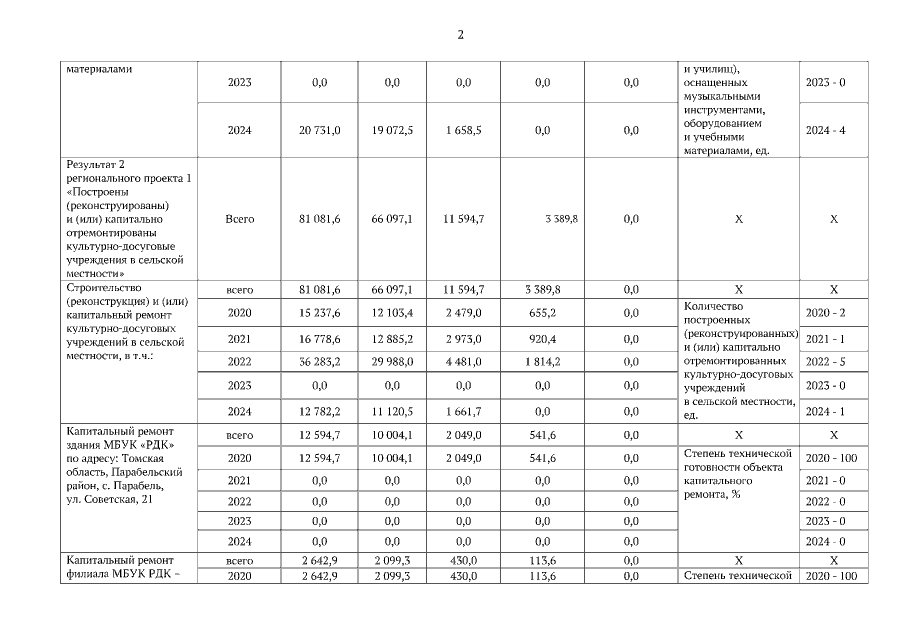
Постановление Администрации Томской области от 09.01.2023 № 5а
"О внесении изменений в постановление Администрации Томской области от 27.09.2019 № 347а"
Номер опубликования: 7000202301120001
Дата опубликования: 12.01.2023
Страница №38 из 48:
Увеличить