Официальное опубликование правовых актов
ОФИЦИАЛЬНОЕ ОПУБЛИКОВАНИЕ
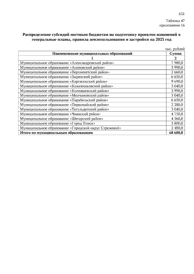
Закон Томской области от 28.12.2022 № 141-ОЗ
"Об областном бюджете на 2023 год и на плановый период 2024 и 2025 годов"
Номер опубликования: 7000202212280004
Дата опубликования: 28.12.2022
Страница №631 из 720:
Увеличить