Официальное опубликование правовых актов
ОФИЦИАЛЬНОЕ ОПУБЛИКОВАНИЕ
Постановление Администрации Томской области от 22.12.2022 № 606а
"О внесении изменений в постановление Администрации Томской области от 30.12.2013 № 597а"
Номер опубликования: 7000202212230011
Дата опубликования: 23.12.2022
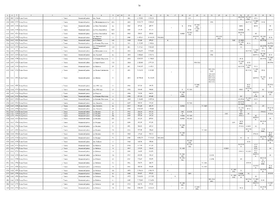
Страница №40 из 143:
Увеличить