Официальное опубликование правовых актов
ОФИЦИАЛЬНОЕ ОПУБЛИКОВАНИЕ
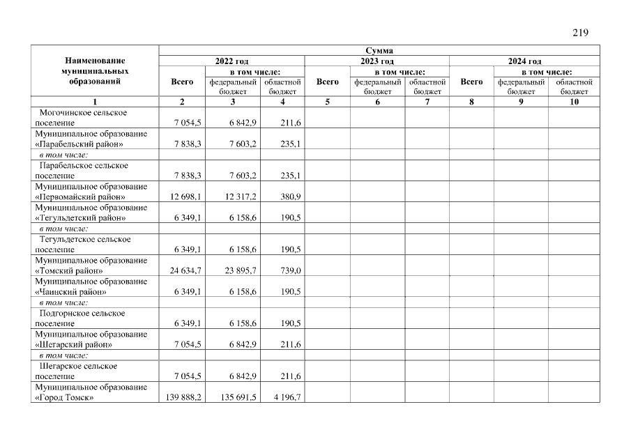
Закон Томской области от 12.04.2022 № 18-ОЗ
"О внесении изменений в Закон Томской области "Об областном бюджете на 2022 год и на плановый период 2023 и 2024 годов"
Номер опубликования: 7000202204130006
Дата опубликования: 13.04.2022
Страница №219 из 222:
Увеличить