Официальное опубликование правовых актов
ОФИЦИАЛЬНОЕ ОПУБЛИКОВАНИЕ
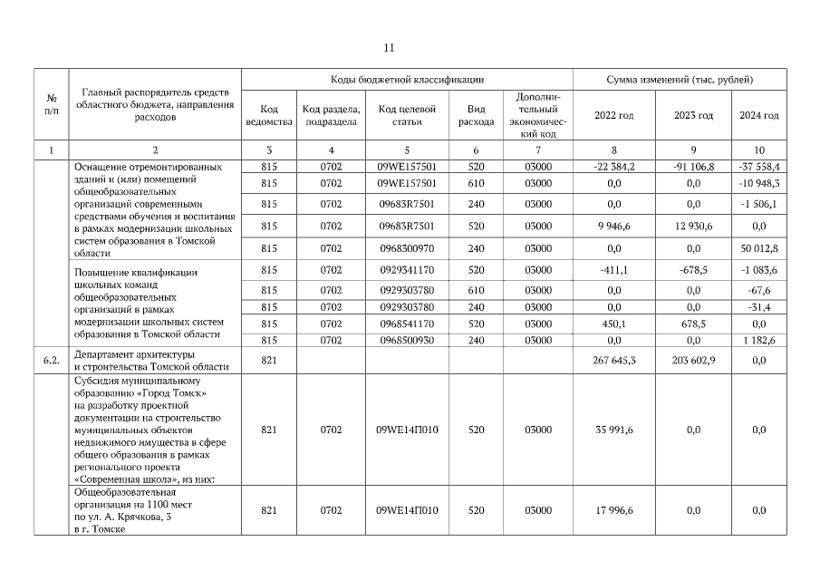
Постановление Администрации Томской области от 07.04.2022 № 144а
"О внесении изменений в сводную бюджетную роспись областного бюджета на 2022 год и на плановый период 2023 и 2024 годов"
Номер опубликования: 7000202204110002
Дата опубликования: 11.04.2022
Страница №12 из 19:
Увеличить