Официальное опубликование правовых актов
ОФИЦИАЛЬНОЕ ОПУБЛИКОВАНИЕ
Постановление Администрации Томской области от 14.01.2022 № 7а
"О внесении изменений в постановление Администрации Томской области от 19.10.2016 № 335а"
Номер опубликования: 7000202201180002
Дата опубликования: 18.01.2022
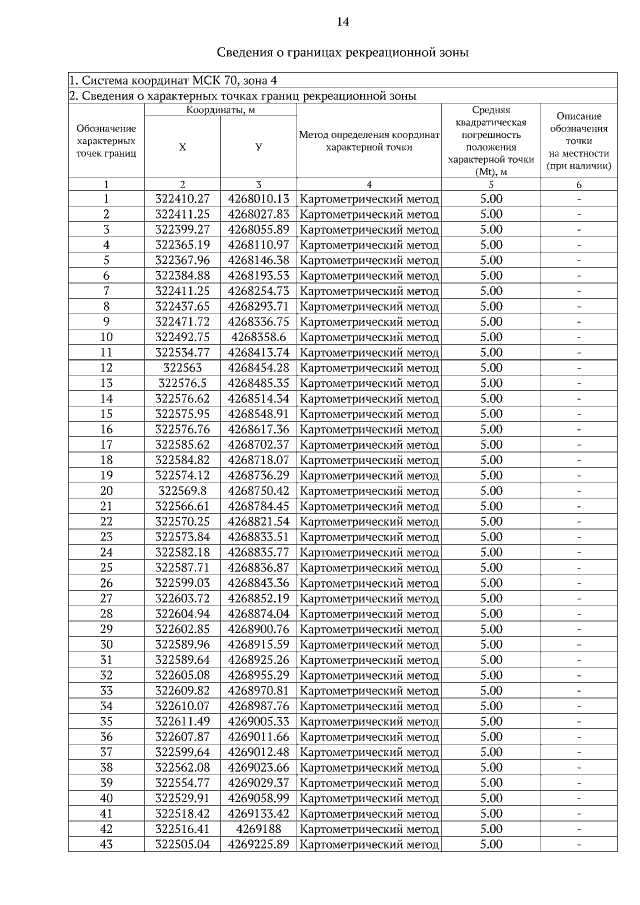
Страница №18 из 90:
Увеличить