Официальное опубликование правовых актов
ОФИЦИАЛЬНОЕ ОПУБЛИКОВАНИЕ
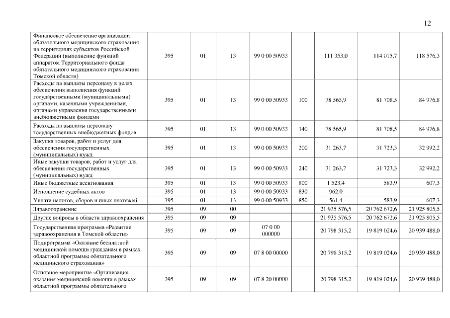
Закон Томской области от 28.12.2021 № 134-ОЗ
"О внесении изменений в Закон Томской области "О бюджете Территориального фонда обязательного медицинского страхования Томской области на 2021 год и на плановый период 2022 и 2023 годов"
Номер опубликования: 7000202112290013
Дата опубликования: 29.12.2021
Страница №12 из 19:
Увеличить