Официальное опубликование правовых актов
ОФИЦИАЛЬНОЕ ОПУБЛИКОВАНИЕ
Постановление Администрации Томской области от 27.12.2021 № 542а
"О внесении изменений в постановление Администрации Томской области от 30.12.2013 № 597а"
Номер опубликования: 7000202112280002
Дата опубликования: 28.12.2021
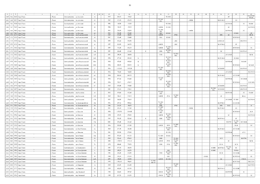
Страница №52 из 134:
Увеличить