Официальное опубликование правовых актов
ОФИЦИАЛЬНОЕ ОПУБЛИКОВАНИЕ
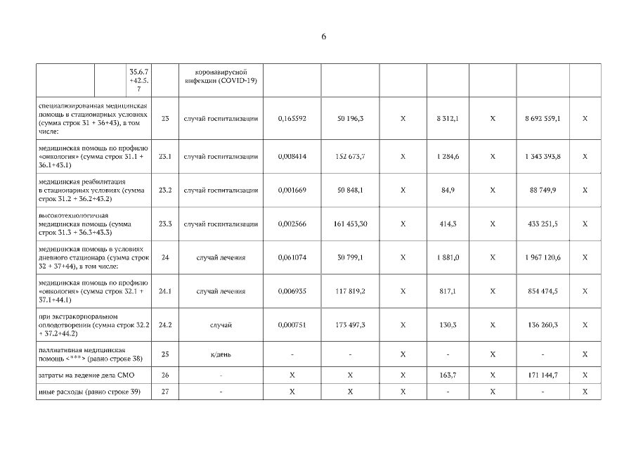
Постановление Администрации Томской области от 30.11.2021 № 476а
"О внесении изменений в постановление Администрации Томской области от 30.12.2020 № 644а"
Номер опубликования: 7000202112030004
Дата опубликования: 03.12.2021
Страница №9 из 15:
Увеличить