Официальное опубликование правовых актов
ОФИЦИАЛЬНОЕ ОПУБЛИКОВАНИЕ
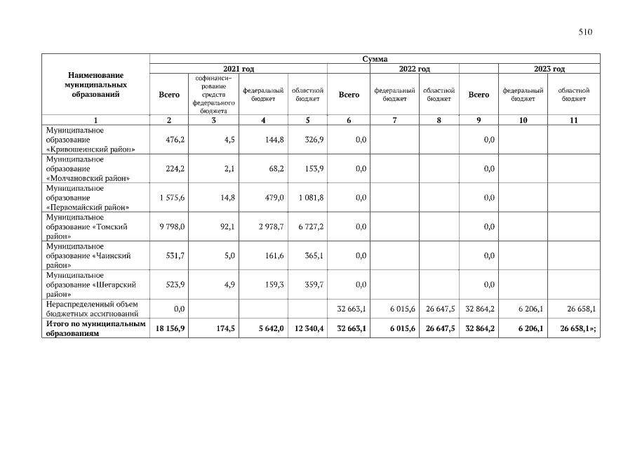
Закон Томской области от 10.06.2021 № 46-ОЗ
"О внесении изменений в Закон Томской области "Об областном бюджете на 2021 год и на плановый период 2022 и 2023 годов"
Номер опубликования: 7000202106110003
Дата опубликования: 11.06.2021
Страница №510 из 535:
Увеличить