Официальное опубликование правовых актов
ОФИЦИАЛЬНОЕ ОПУБЛИКОВАНИЕ
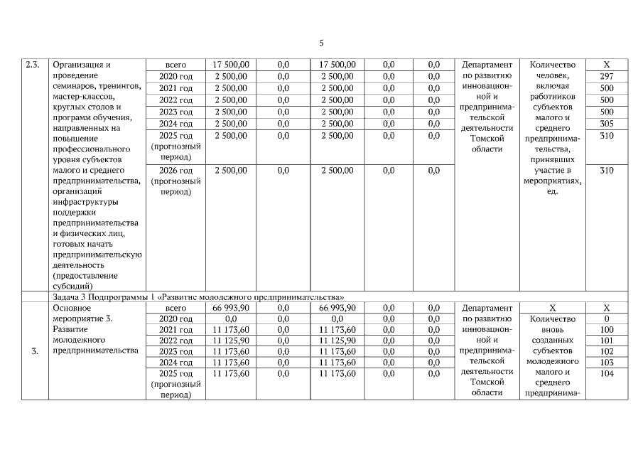
Постановление Администрации Томской области от 29.12.2020 № 643а
"О внесении изменений в постановление Администрации Томской области от 27.09.2019 № 360а"
Номер опубликования: 7000202012310002
Дата опубликования: 31.12.2020
Страница №43 из 149:
Увеличить