Официальное опубликование правовых актов
ОФИЦИАЛЬНОЕ ОПУБЛИКОВАНИЕ
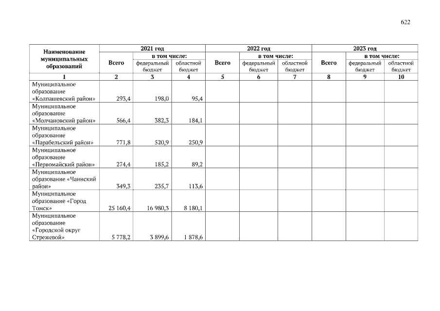
Закон Томской области от 29.12.2020 № 180-ОЗ
"Об областном бюджете на 2021 год и на плановый период 2022 и 2023 годов"
Номер опубликования: 7000202012300017
Дата опубликования: 30.12.2020
Страница №622 из 725:
Увеличить