Официальное опубликование правовых актов
ОФИЦИАЛЬНОЕ ОПУБЛИКОВАНИЕ
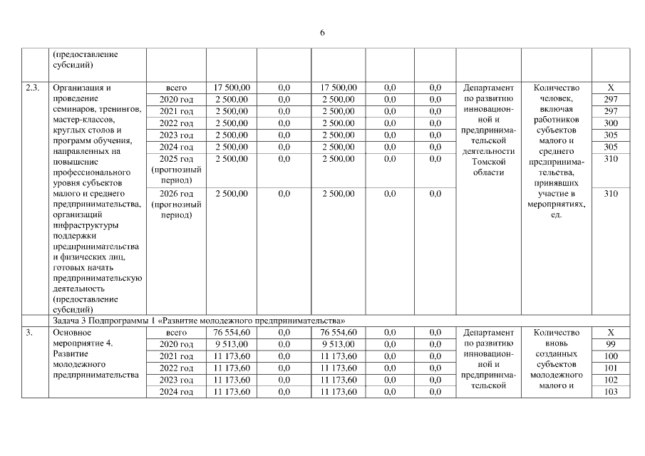
Постановление Администрации Томской области от 15.04.2020 № 164а
"О внесении изменений в постановление Администрации Томской области от 27.09.2019 № 360а"
Номер опубликования: 7000202004220003
Дата опубликования: 22.04.2020
Страница №53 из 175:
Увеличить