Официальное опубликование правовых актов
ОФИЦИАЛЬНОЕ ОПУБЛИКОВАНИЕ
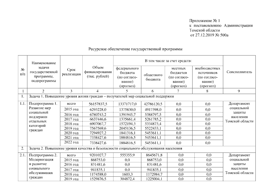
Постановление Администрации Томской области от 27.12.2019 № 500а
"О внесении изменений в постановление Администрации Томской области от 01.12.2014 № 447а"
Номер опубликования: 7000201912300026
Дата опубликования: 30.12.2019
Страница №4 из 34:
Увеличить