Официальное опубликование правовых актов
ОФИЦИАЛЬНОЕ ОПУБЛИКОВАНИЕ
Постановление Администрации Томской области от 28.12.2019 № 517а
"О внесении изменений в постановление Администрации Томской области от 30.10.2014 № 413а"
Номер опубликования: 7000201912300023
Дата опубликования: 30.12.2019
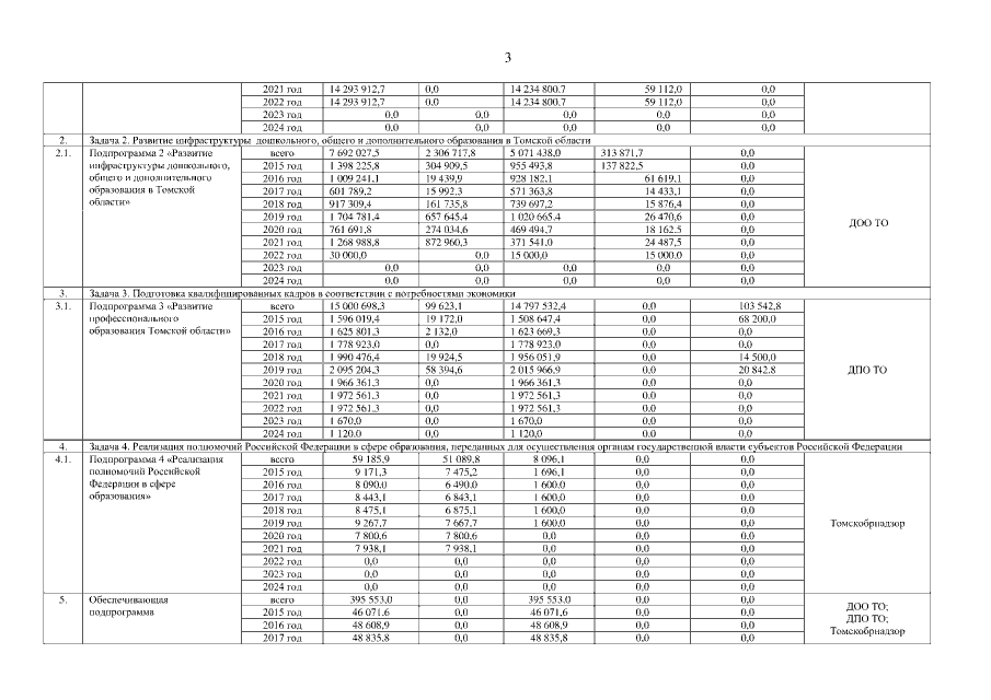
Страница №3 из 44:
Увеличить