Официальное опубликование правовых актов
ОФИЦИАЛЬНОЕ ОПУБЛИКОВАНИЕ
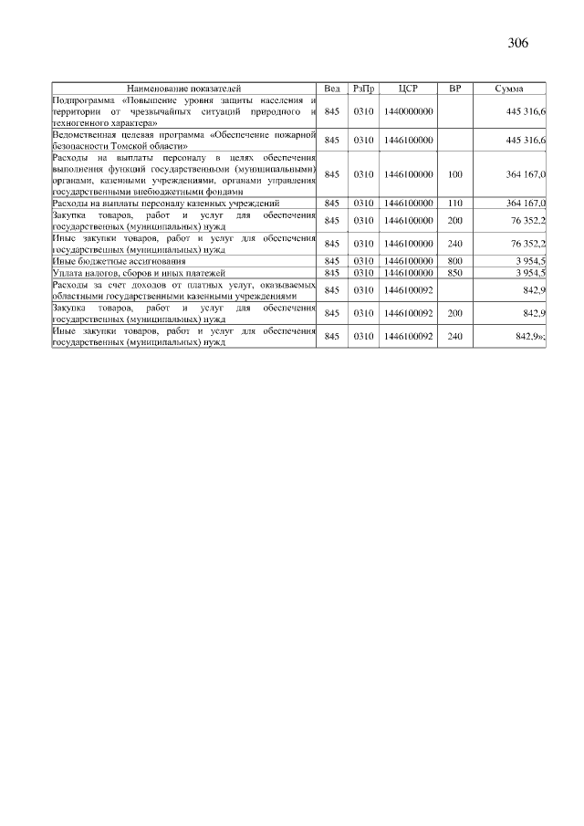
Закон Томской области от 25.12.2019 № 153-ОЗ
"О внесении изменений в Закон Томской области "Об областном бюджете на 2019 год и на плановый период 2020 и 2021 годов"
Номер опубликования: 7000201912270011
Дата опубликования: 27.12.2019
Страница №306 из 512:
Увеличить