Официальное опубликование правовых актов
ОФИЦИАЛЬНОЕ ОПУБЛИКОВАНИЕ
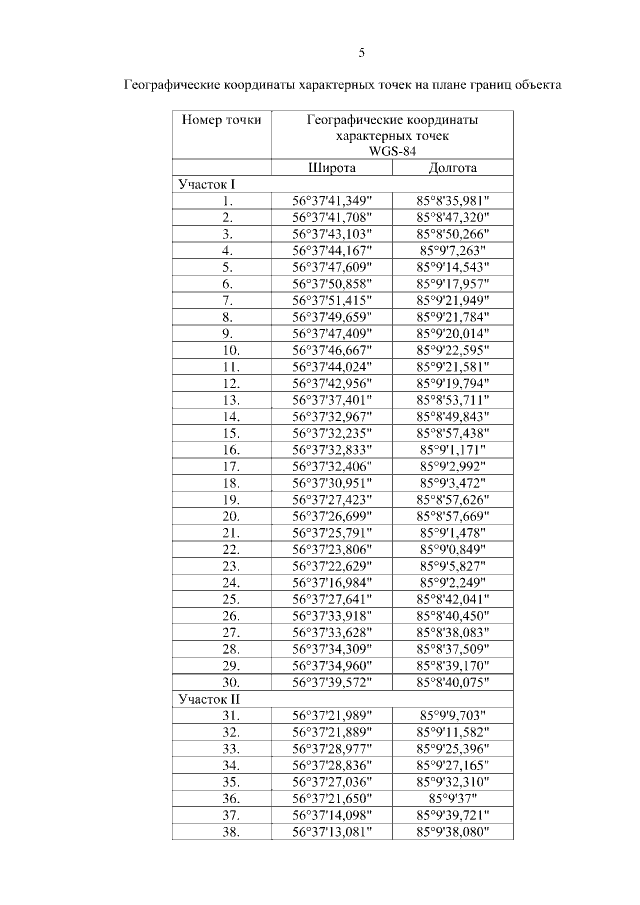
Постановление Администрации Томской области от 17.12.2019 № 477а
"О создании ландшафтного парка областного значения "Конининский припоселковый лесопарк"
Номер опубликования: 7000201912200014
Дата опубликования: 20.12.2019
Страница №9 из 11:
Увеличить