Официальное опубликование правовых актов
ОФИЦИАЛЬНОЕ ОПУБЛИКОВАНИЕ
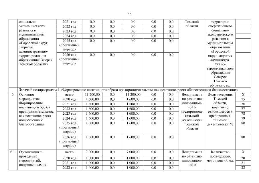
Постановление Администрации Томской области от 27.09.2019 № 360а
"Об утверждении государственной программы "Развитие предпринимательства и повышение эффективности государственного управления социально-экономическим развитием Томской области"
Номер опубликования: 7000201910040006
Дата опубликования: 04.10.2019
Страница №81 из 182:
Увеличить