Официальное опубликование правовых актов
ОФИЦИАЛЬНОЕ ОПУБЛИКОВАНИЕ
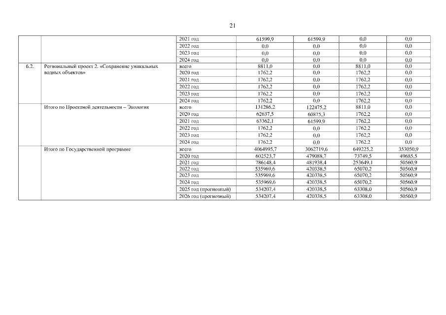
Постановление Администрации Томской области от 27.09.2019 № 343а
"Об утверждении государственной программы "Охрана окружающей среды, воспроизводство и рациональное использование природных ресурсов"
Номер опубликования: 7000201910020003
Дата опубликования: 02.10.2019
Страница №23 из 90:
Увеличить