Официальное опубликование правовых актов
ОФИЦИАЛЬНОЕ ОПУБЛИКОВАНИЕ
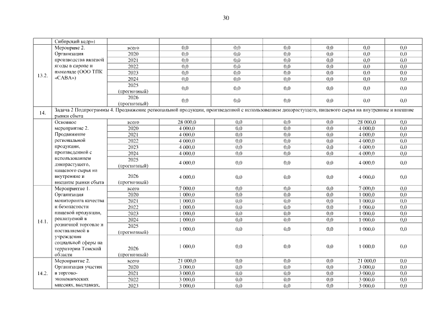
Постановление Администрации Томской области от 26.09.2019 № 338а
"Об утверждении государственной программы "Развитие сельского хозяйства, рынков сырья и продовольствия в Томской области"
Номер опубликования: 7000201909300003
Дата опубликования: 30.09.2019
Страница №32 из 195:
Увеличить