Официальное опубликование правовых актов
ОФИЦИАЛЬНОЕ ОПУБЛИКОВАНИЕ
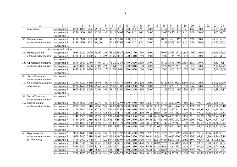
Постановление Администрации Томской области от 22.07.2019 № 266а
"О внесении изменений в постановление Администрации Томской области от 27.11.2014 № 439а"
Номер опубликования: 7000201907240004
Дата опубликования: 24.07.2019
Страница №32 из 61:
Увеличить