Официальное опубликование правовых актов
ОФИЦИАЛЬНОЕ ОПУБЛИКОВАНИЕ
Постановление Администрации Томской области от 15.07.2019 № 255а
"О внесении изменений в постановление Администрации Томской области от 30.12.2013 № 597а"
Номер опубликования: 7000201907180001
Дата опубликования: 18.07.2019
Страница №151 из 176:
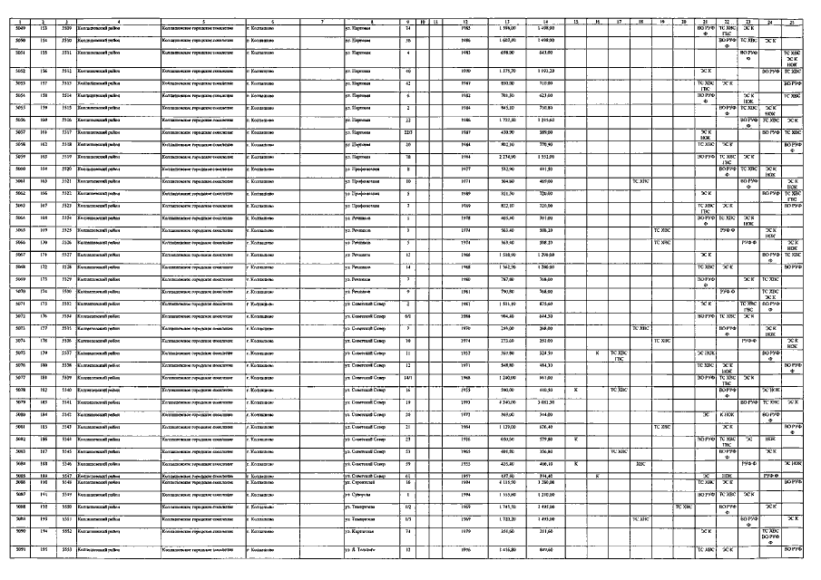
Увеличить