Официальное опубликование правовых актов
ОФИЦИАЛЬНОЕ ОПУБЛИКОВАНИЕ
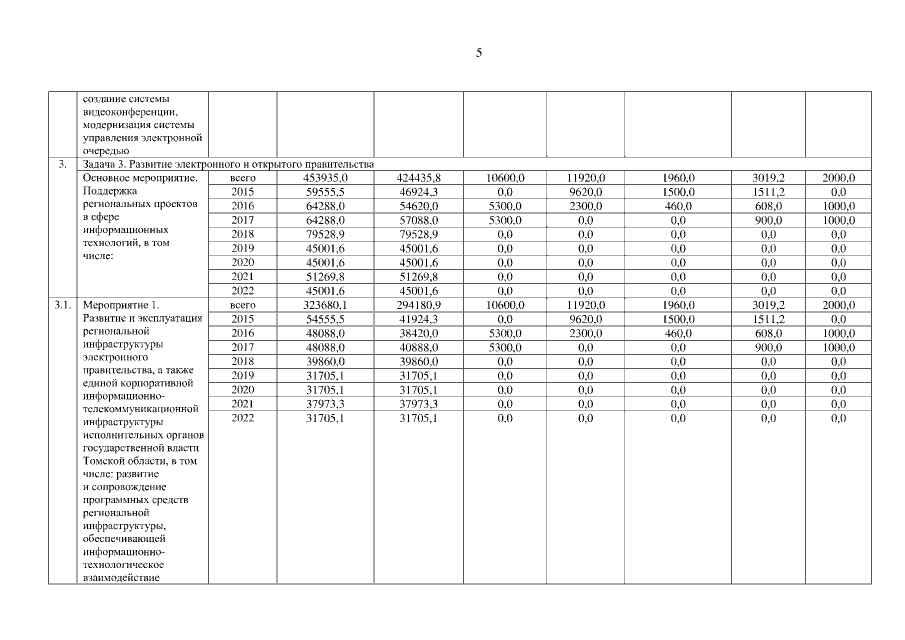
Постановление Администрации Томской области от 09.04.2019 № 140а
"О внесении изменений в постановление Администрации Томской области от 12.12.2014 № 491а"
Номер опубликования: 7000201904110002
Дата опубликования: 11.04.2019
Страница №56 из 64:
Увеличить