Официальное опубликование правовых актов
ОФИЦИАЛЬНОЕ ОПУБЛИКОВАНИЕ
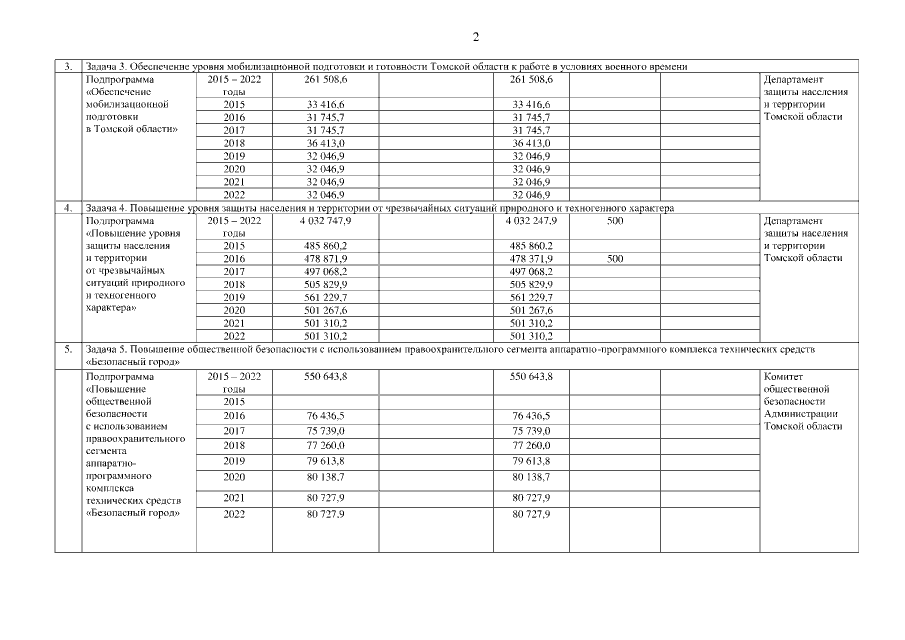
Постановление Администрации Томской области от 28.03.2019 № 124а
"О внесении изменений в постановление Администрации Томской области от 30.10.2014 № 411а"
Номер опубликования: 7000201904030004
Дата опубликования: 03.04.2019
Страница №8 из 70:
Увеличить