Официальное опубликование правовых актов
ОФИЦИАЛЬНОЕ ОПУБЛИКОВАНИЕ
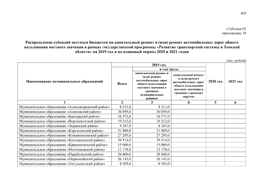
Закон Томской области от 14.03.2019 № 1-ОЗ
"О внесении изменений в Закон Томской области "Об областном бюджете на 2019 год и на плановый период 2020 и 2021 годов"
Номер опубликования: 7000201903190010
Дата опубликования: 19.03.2019
Страница №465 из 500:
Увеличить