Официальное опубликование правовых актов
ОФИЦИАЛЬНОЕ ОПУБЛИКОВАНИЕ
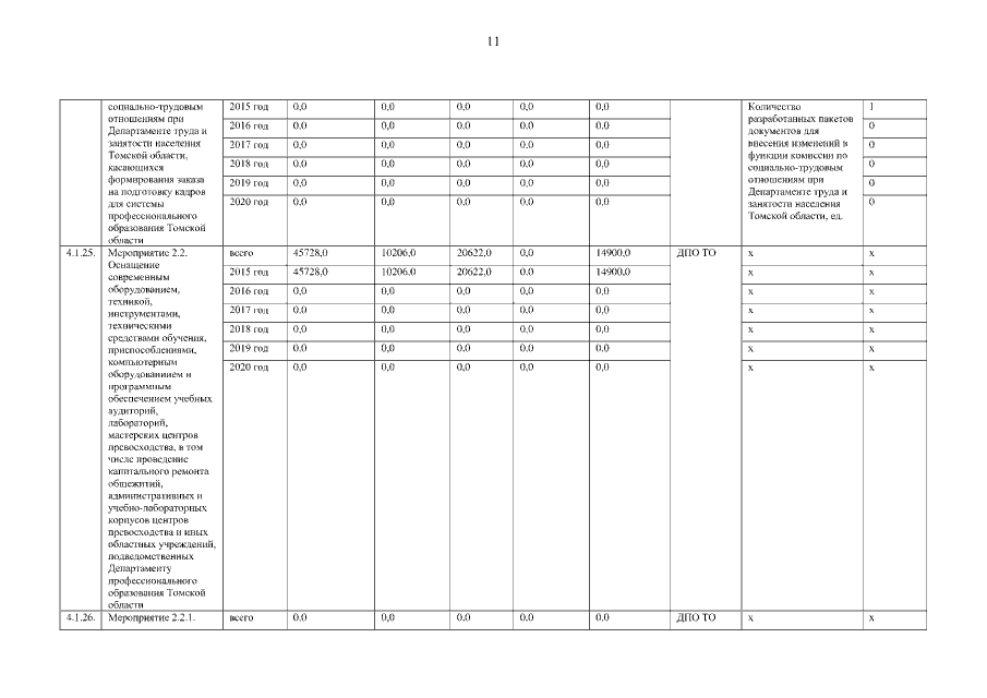
Постановление Администрации Томской области от 30.01.2019 № 35а
"О внесении изменений в постановление Администрации Томской области от 30.10.2014 № 413а"
Номер опубликования: 7000201902080005
Дата опубликования: 08.02.2019
Страница №127 из 225:
Увеличить