Официальное опубликование правовых актов
ОФИЦИАЛЬНОЕ ОПУБЛИКОВАНИЕ
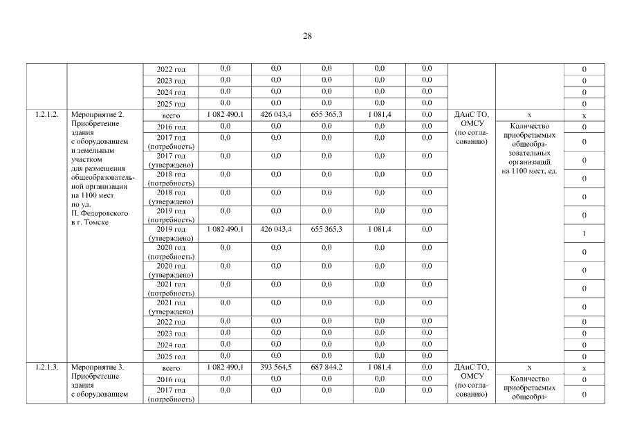
Постановление Администрации Томской области от 30.01.2019 № 34а
"О внесении изменений в постановление Администрации Томской области от 22.03.2016 № 79а"
Номер опубликования: 7000201902010001
Дата опубликования: 01.02.2019
Страница №63 из 88:
Увеличить