Официальное опубликование правовых актов
ОФИЦИАЛЬНОЕ ОПУБЛИКОВАНИЕ
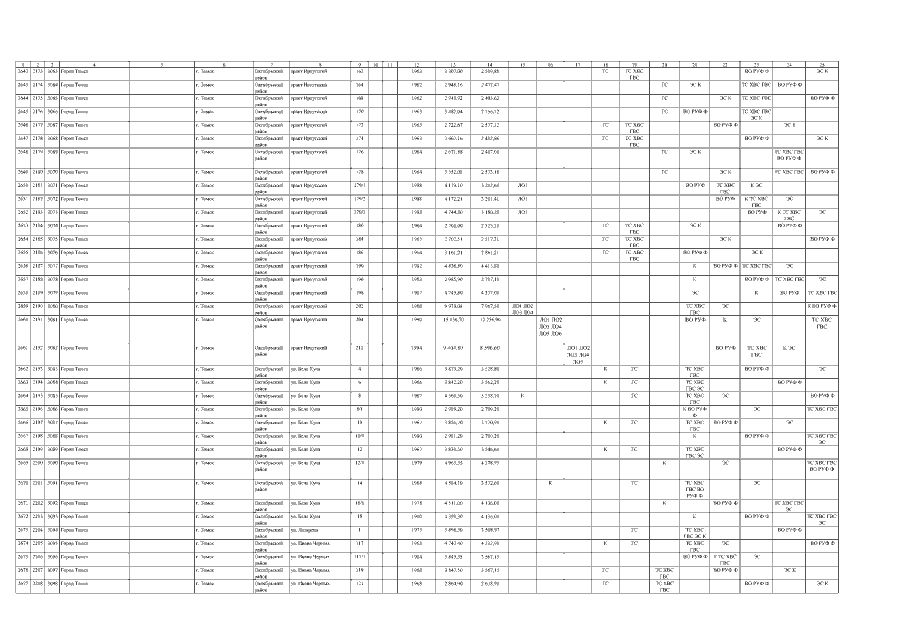
Постановление Администрации Томской области от 28.12.2018 № 502а
"О внесении изменений в постановление Администрации Томской области от 30.12.2013 № 597а"
Номер опубликования: 7000201812290009
Дата опубликования: 29.12.2018
Страница №70 из 152:
Увеличить