Официальное опубликование правовых актов
ОФИЦИАЛЬНОЕ ОПУБЛИКОВАНИЕ
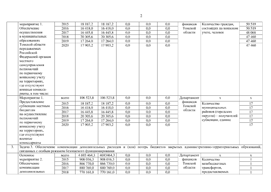
Постановление Администрации Томской области от 26.12.2018 № 495а
"О внесении изменений в постановление Администрации Томской области от 26.11.2014 № 433а"
Номер опубликования: 7000201812270003
Дата опубликования: 27.12.2018
Страница №15 из 23:
Увеличить