Официальное опубликование правовых актов
ОФИЦИАЛЬНОЕ ОПУБЛИКОВАНИЕ
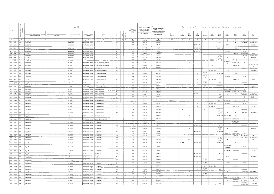
Постановление Администрации Томской области от 16.07.2018 № 284а
"О внесении изменений в постановление Администрации Томской области от 30.12.2013 № 597а"
Номер опубликования: 7000201807180004
Дата опубликования: 18.07.2018
Страница №59 из 114:
Увеличить