Официальное опубликование правовых актов
ОФИЦИАЛЬНОЕ ОПУБЛИКОВАНИЕ
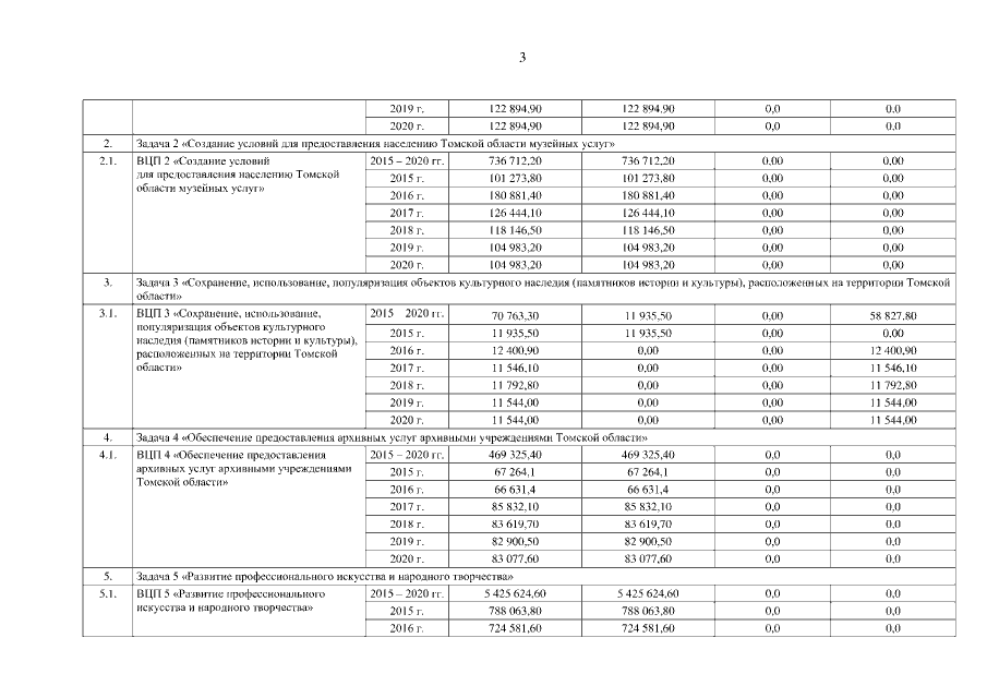
Постановление Администрации Томской области от 14.06.2018 № 246а
"О внесении изменений в постановление Администрации Томской области от 12.12.2014 № 489а"
Номер опубликования: 7000201806180009
Дата опубликования: 18.06.2018
Страница №6 из 51:
Увеличить