Официальное опубликование правовых актов
ОФИЦИАЛЬНОЕ ОПУБЛИКОВАНИЕ
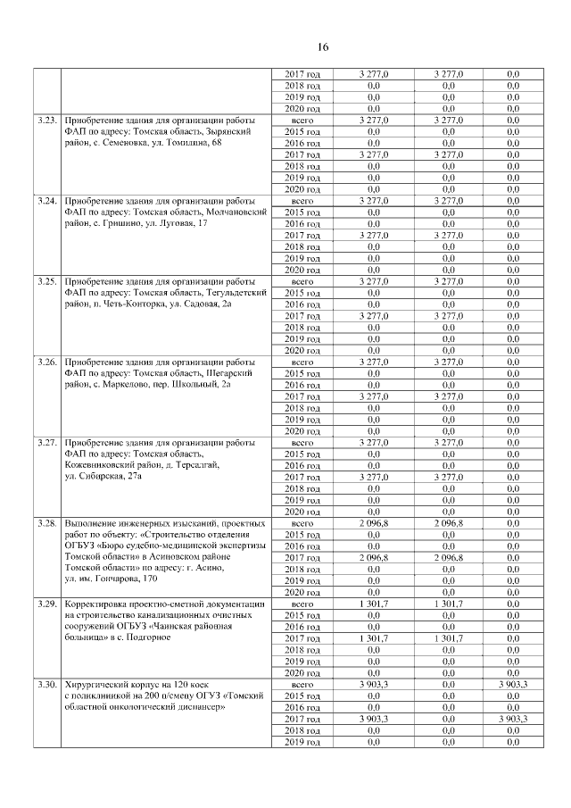
Постановление Администрации Томской области от 19.04.2018 № 181а
"О внесении изменений в постановление Администрации Томской области от 09.12.2014 № 476а"
Номер опубликования: 7000201804230001
Дата опубликования: 23.04.2018
Страница №162 из 166:
Увеличить