Официальное опубликование правовых актов
ОФИЦИАЛЬНОЕ ОПУБЛИКОВАНИЕ
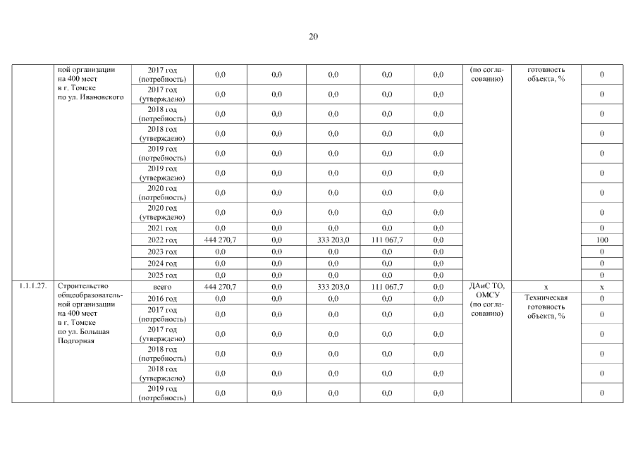
Постановление Администрации Томской области от 30.01.2018 № 45а
"О внесении изменений в постановление Администрации Томской области от 22.03.2016 № 79а"
Номер опубликования: 7000201802020010
Дата опубликования: 02.02.2018
Страница №68 из 91:
Увеличить