Официальное опубликование правовых актов
ОФИЦИАЛЬНОЕ ОПУБЛИКОВАНИЕ
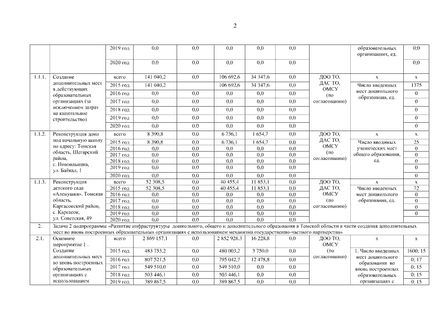
Постановление Администрации Томской области от 30.01.2018 № 43а
"О внесении изменений в постановление Администрации Томской области от 30.10.2014 № 413а"
Номер опубликования: 7000201802020003
Дата опубликования: 02.02.2018
Страница №62 из 118:
Увеличить