Официальное опубликование правовых актов
ОФИЦИАЛЬНОЕ ОПУБЛИКОВАНИЕ
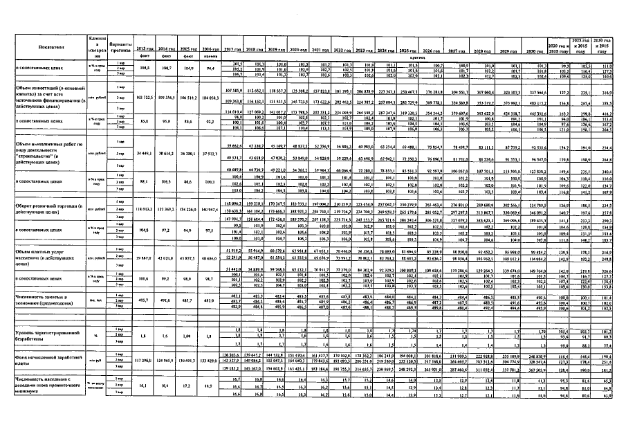
Постановление Администрации Томской области от 24.03.2017 № 98а
"Об утверждении Бюджетного прогноза Томской области на период до 2030 года"
Номер опубликования: 7000201703290011
Дата опубликования: 29.03.2017
Страница №26 из 31:
Увеличить