Официальное опубликование правовых актов
ОФИЦИАЛЬНОЕ ОПУБЛИКОВАНИЕ
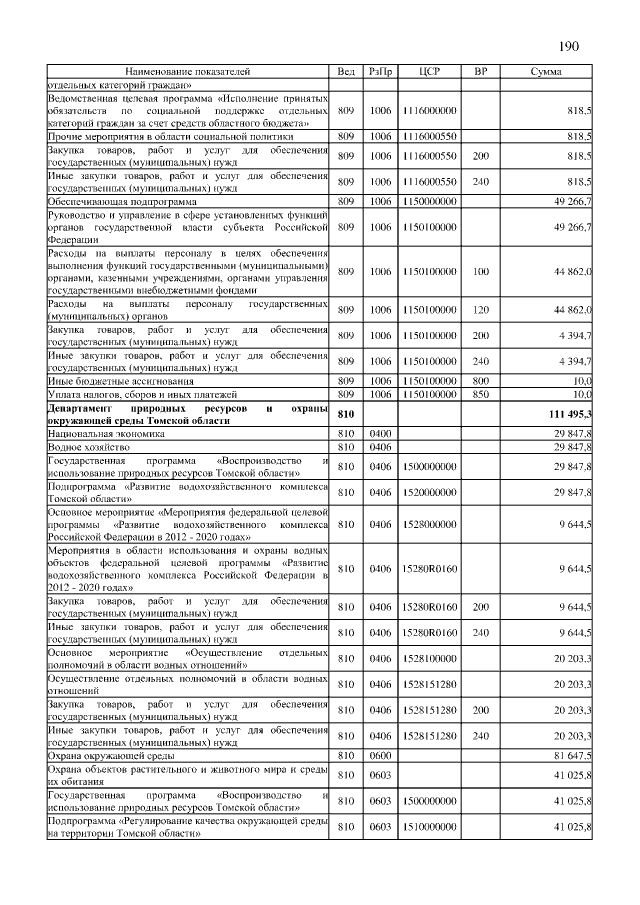
Закон Томской области от 09.03.2017 № 18-ОЗ
"О внесении изменений в Закон Томской области "Об областном бюджете на 2017 год и на плановый период 2018 и 2019 годов"
Номер опубликования: 7000201703100003
Дата опубликования: 10.03.2017
Страница №190 из 440:
Увеличить